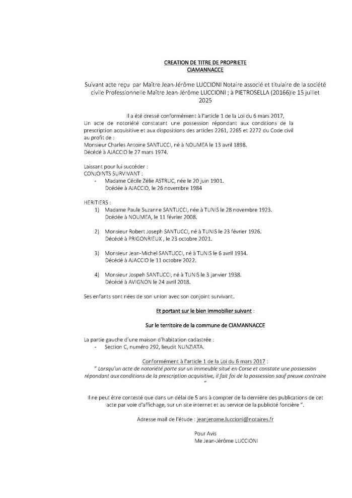
Avis de création de titre de propriété - Commune de Ciamanaccia (Pumonti)
Le décret du 28 décembre 2017 fait obligation de procéder à trois publications suite à la signature d’un acte de notoriété acquisitive.
L’une d’entre elles doit être effectuée sur le site de la collectivité de Corse.
Page publiée le 05/08/2025 | Modifiée le 05/08/2025 à 17:22
L'attualità di a Cullettività di Corsica
-
Sessione strasurdinaria di l'Assemblea di Corsica di u 29 di maghju di u 2026
29/05/2026 -
Inaugurazione di u Castellu di a Citadella di Corti, u 22 di maghju di u 2026
22/05/2026 -
Invechjà Bè : les prochaines journées d'information sur les dispositifs à destination des personnes âgées
21/05/2026 -
Déclaration des dix plus hautes rémunérations de la Collectivité de Corse - campagne 2025
21/05/2026 -
Notte europea di i musei 2026, sabbatu u 23 di maghju in Corti, Merusaglia, Livia è Aleria
21/05/2026

















