Cullettivita di Corsica Cullettivita di Corsica
Cullettività di Corsica - Collectivité de Corse

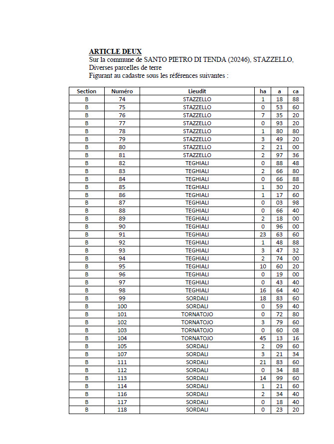
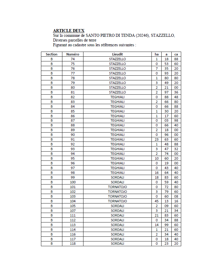
Avis de création de titre de propriété - Commune de Santu Petru di Tenda (Cismonte)


Le décret du 28 décembre 2017 fait obligation de procéder à trois publications suite à la signature d’un acte de notoriété acquisitive.
L’une d’entre elles doit être effectuée sur le site de la collectivité de Corse.


Avis de création de titre de propriété - Commune de Santu Petru di Tenda  (Cismonte)

Avis de création de titre de propriété - Commune de Santu Petru di Tenda  (Cismonte)

Avis de création de titre de propriété - Commune de Santu Petru di Tenda  (Cismonte)

Avis de création de titre de propriété - Commune de Santu Petru di Tenda  (Cismonte)

Avis de création de titre de propriété - Commune de Santu Petru di Tenda  (Cismonte)

Avis de création de titre de propriété - Commune de Santu Petru di Tenda  (Cismonte)


Page publiée le 27/04/2026 | Modifiée le 27/04/2026 à 11:03