
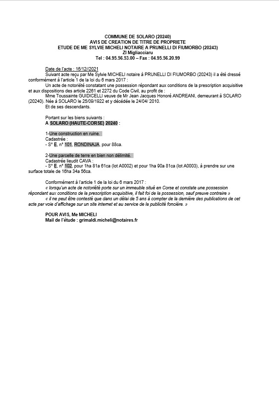
Avis de création de titre de propriété - Commune de Solaro (Corse-du-Sud)
Le décret du 28 décembre 2017 fait obligation de procéder à trois publications suite à la signature d’un acte de notoriété acquisitive.
L’une d’entre elles doit être effectuée sur le site de la collectivité de Corse.
Page publiée le 17/12/2021 | Modifiée le 17/12/2021 à 10:08
L'attualità di a Cullettività di Corsica
-
Chjama à prugetti : Lingua corsa è natura 2025
14/10/2025 -
9e édition des "Erasmus days" : Journée internationale de la mobilité étudiante à l'Università di Corsica le 15 octobre
14/10/2025 -
"E strade di l'orientazione", du 14 au 17 octobre 2025 au Palais des Congrès d'Aiacciu
14/10/2025 -
Concertation publique : Déviation d'Ulmetu (RT 40)
13/10/2025 -
Incidents à l’aéroport de Marseille-Provence : le Conseil exécutif de Corse demande à rencontrer le gestionnaire de l’aéroport
12/10/2025