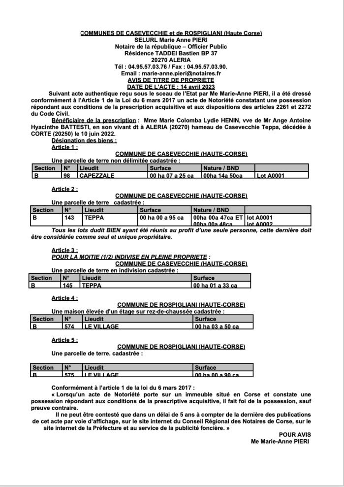
Avis de création de titre de propriété - Communes de Casevechje è Ruspigliani (Cismonte)
Le décret du 28 décembre 2017 fait obligation de procéder à trois publications suite à la signature d’un acte de notoriété acquisitive.
L’une d’entre elles doit être effectuée sur le site de la collectivité de Corse.
Page publiée le 19/04/2023 | Modifiée le 20/04/2023 à 09:59
L'attualità di a Cullettività di Corsica
-
Cumunicatu : Mise au point de la Collectivité de Corse concernant le Conservatoire Henri Tomasi, à Aiacciu
12/02/2026 -
Conditions météo : perturbations sur les lignes de transport scolaire et interurbain le jeudi 12 février 2026
11/02/2026 -
Invechjà Bè : les prochaines journées d'information sur les dispositifs à destination des personnes âgées
09/02/2026 -
Réponse au communiqué du groupe Avanzemu et aux propos du député Paul André Colombani du 1er février 2026
02/02/2026 -
Journée mondiale des zones humides 2026 : A Cullettività di Corsica sempre impignata in a prutezzione di l’ambienti umidi
02/02/2026
















